农药原药
| 类别 | 产品名称 | 结构式 | 理化性质 |
| 除草剂 | 草甘膦 |
| 分子式: C3H8NO5P 分子量: 169.07 CAS号: 1071-83-6 熔点:230 ℃ 表观: 白色结晶固体 气味: 无味 |
| 除草剂 | 2,4-D |
| 分子式: C8H6Cl2O3 分子量: 221.04 CAS号: 94-75-7 熔点:138 ℃ 表观:白色或黄色结晶粉末 气味: 无味 |
| 除草剂 | 野麦畏 |
| 分子式: C10H16Cl3NOS 分子量: 304.67 CAS号: 2303-17-5 熔点:29-30℃ 表观: 棕色至黑棕色液体 气味: / |
| 除草剂 | 茵达灭 |
| 分子式: C9H19NOS 分子量: 189.32 CAS号: 759-94-4 沸点: 127℃(20 mm Hg) 表观: 琥珀色液体 气味: 芳香味 |
| 除草剂 | 氯苯胺灵 |
| 分子式: C10H12ClNO2 分子量: 213.66 CAS号: 101-21-3 熔点: 40.7-41.1℃ 表观: 浅棕色粉末 气味:幽微的气味 |
| 除草剂 | 磺草灵 |
| 分子式:C8H10N2O4S 分子量: 230.24 CAS号: 3337-71-1 熔点:135-138 ℃ 表观:浅黄色粉末 气味: 无气味 |
| 除草剂 | 禾草丹 |
| 分子式: C12H16ClNOS 分子量:257.78 CAS号: 28249-77-6 熔点: 3.3 ℃ 表观: 浅黄色液体 气味: Slight aromatic odor |
| 除草剂 | 苄草丹 |
| 分子式: C14H21NOS 分子量: 251.39 CAS号: 52888-80-9 沸点:129℃(33Pa) 表观: 浅黄色液体 气味: 轻微芳香气味 |
| 除草剂 | 嗪草酮 |
| 分子式: C8H14N4OS 分子量: 214.29 CAS号: 21087-64-9 熔点: 126.2℃ 表观:白色晶体 气味: 轻微气味 |
| 除草剂 | 氟咯草酮 |
| 分子式: C12H10Cl2F3NO 分子量: 312.12 CAS号: 61213-25-0 熔点:42~73℃ 表观: 棕色固体 气味: / |
| 除草剂 | 氰氟草酯 |
| 分子式: C20H20FNO4 分子量: 357.38 CAS号: 122008-85-9 熔点:45.5-49.5℃ 表观:白色晶体 气味:幽微杏仁味 |
| 除草剂 | 双草醚 |
| 分子式: C19H17N4NaO8 分子量: 452.35 CAS号: 125401-92-5 熔点: 223-224 ℃ 表观: 白色粉状固体 气味: 无味 |
| 杀菌剂 | 百菌清 |
| 分子式: C8Cl4N2 分子量: 265.9 CAS号: 1897-45-6 熔点: 252.1 ℃ 表观: 白色结晶固体 气味: 无味 |
| 杀菌剂 | 嘧菌酯 |
| 分子式: C22H17N3O5 分子量: 403.4 CAS号: 131860-33-8 熔点: 116 ℃ 表观: 白色结晶固体 气味: 无味 |
| 杀菌剂 | 肟菌酯 |
| 分子式: C20H19F3N2O4 分子量: 408.4 CAS号:175013-18-0 熔点: 72.9 ℃ 表观: 白色或灰白色固体 气味: 无味 |
| 杀菌剂 | 吡唑醚菌酯 |
| 分子式: C19H18ClN3O4 分子量:387.8 CAS号:175013-18-0 熔点: 63.7~65.2 ℃ 表观: 白色或浅米色结晶固体 气味: 无味 |
| 杀虫剂 | 噻虫胺 |
| 化学式:C6H8ClN5O2S |
| 杀虫剂 | 呋虫胺 |
| 化学式:C7H14N4O3 分子量:202.2 CAS NO:165252-70-0 熔点:101-102℃ 表观:白色或淡黄色粉末 气味: |
| 杀虫剂 | 乙螨唑 |
| 化学式:C21H23F2NO2 分子量:359.4 CAS NO:153233-91-1 熔点:101.5-102.5℃ 表观:白色晶体粉末 气味: |
| 杀虫剂 | 氟虫腈 |
| 化学式:C12H4Cl2F6N4OS 分子量:437.2 CAS NO:120068-37-3 熔点:200-201℃ 表观:白色粉末 气味: |
| 杀虫剂 | 噻虫嗪 |
| 化学式:C8H10ClN5O3S 分子量:291.7 CAS NO:153719-23-4 熔点:139.1℃ 表观:白色结晶粉末 气味: |
| 杀菌剂 | 丙硫菌唑 |
| 化学式:C14H15Cl2N3OS 分子量:344.3 CAS NO:178928-70-6 熔点: 139-144℃ 表观:白色结晶性粉末 气味: |
| 杀菌剂 | 啶酰菌胺 |
| 化学式:C18H12Cl2N2O 分子量:343.2 CAS NO:188425-85-6 熔点: 143.4-143.6 ℃ 表观:白色粉末 气味:无特殊气味 |
| 杀菌剂 | 环丙唑醇 |
| 化学式:C15H18ClN3O 分子量:291.78 CAS NO:94361-06-5 熔点: 104-106℃ 表观:黄色或棕色固体 气味: |
| 杀菌剂 | 啶氧菌酯 |
| 化学式:C18H16F3NO4 分子量:367.32 CAS NO:.117428-22-5 熔点:68-69 ℃ 表观:白色粉末 气味: |
| 除草剂 | 2甲4氯 |
| 化学式: CH3(Cl)C6H3OCH2COOH 分子量:200.45CAS NO:94-74-65 熔点:120 ℃ 表观:无色结晶 气味: |
| 除草剂 | 毒莠定 |
| 化学式:C6H3Cl3N2O2 分子量:241.46 CAS NO:1918-02-1 熔点:215℃ 表观:无色粉末 气味: |
| 除草剂 | 丙炔氟草胺 |
| 化学式:C19H15FN2O4 分子量:354.33 CAS NO:103361-09-7 熔点:201-204℃ 表观:黄棕色粉状固体 气味: |
| 除草剂 | 胺唑草酮 |
| 化学式:C10H19N5O2 分子量:241.29 CAS NO:129909-90-6 熔点:137.5℃ 表观:白色粉末 气味: |
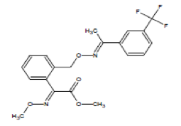
| 除草剂 | 异恶唑草酮 |
| 化学式:C15H12F3NO4S 分子量:359.32 CAS NO:141112-29-0 熔点:140℃ 表观:白色至灰黄色固体 气味: |





























